Fundamentals of Plasma Physics 2025, 48 - Dusty Plasmas

Dusty plasmas contain electrically charged dust grains with very different mass-charge ratios than ions or electrons. Charging the dust particles can be done by various ways, e.g. electron bombardment or photoionizations or radioactive decay. In typical lab settings the plasma is weakly ionized and the dust grains are charged by electron bombardment. As such a dust grain is inserted into the plasma, it gets impacted more frequently by electrons than ions, charging it further negatively (17.1). The individual dust grain can be approximated to have infinite mass in comparison to plasma constituents. The collision mean free path is usually much greater than the plasmas Debye length. As the grain is effectively shielded by particles, surrounding plasma constituents only experience the electrostatic central force of its charge when inside a sphere of the Debye radius (17.2, par. 1). The particle currents flowing into the grain is divided into a repulsive component for electrons, and an attractive part for ions. (Eqs. 17.8-9)

As the dust grain is charged more, the electron current decreases and the ion current increases, until they balance, where the grain isn't charged further. Insertion of such grains affects the quasi-neutrality, introducing a charge Zd of the grain in the plasma, changing the electron density. The ion density is unaffected by this (17.3, par 1-3). Define α so that

(Eqs 17.12, 17.14, 17.16, 17.17). Dusty plasmas are characterized by a normalized dust radius and normalized dust interparticle spacing. They determine a Debye-length normalization P, which is used to characterize the different kinds of dusty plasma (17.4).

At large P, nearly all electrons are attached to the grains, so the plasma consists almost entirely of negatively charged grains and positive ions. This reverses the roles of positive and negative particles for the propagation of acoustic waves. Its wave phase velocity is then much faster than ion thermal velocity, and much slower than electron thermal velocity (17.5, par 1).

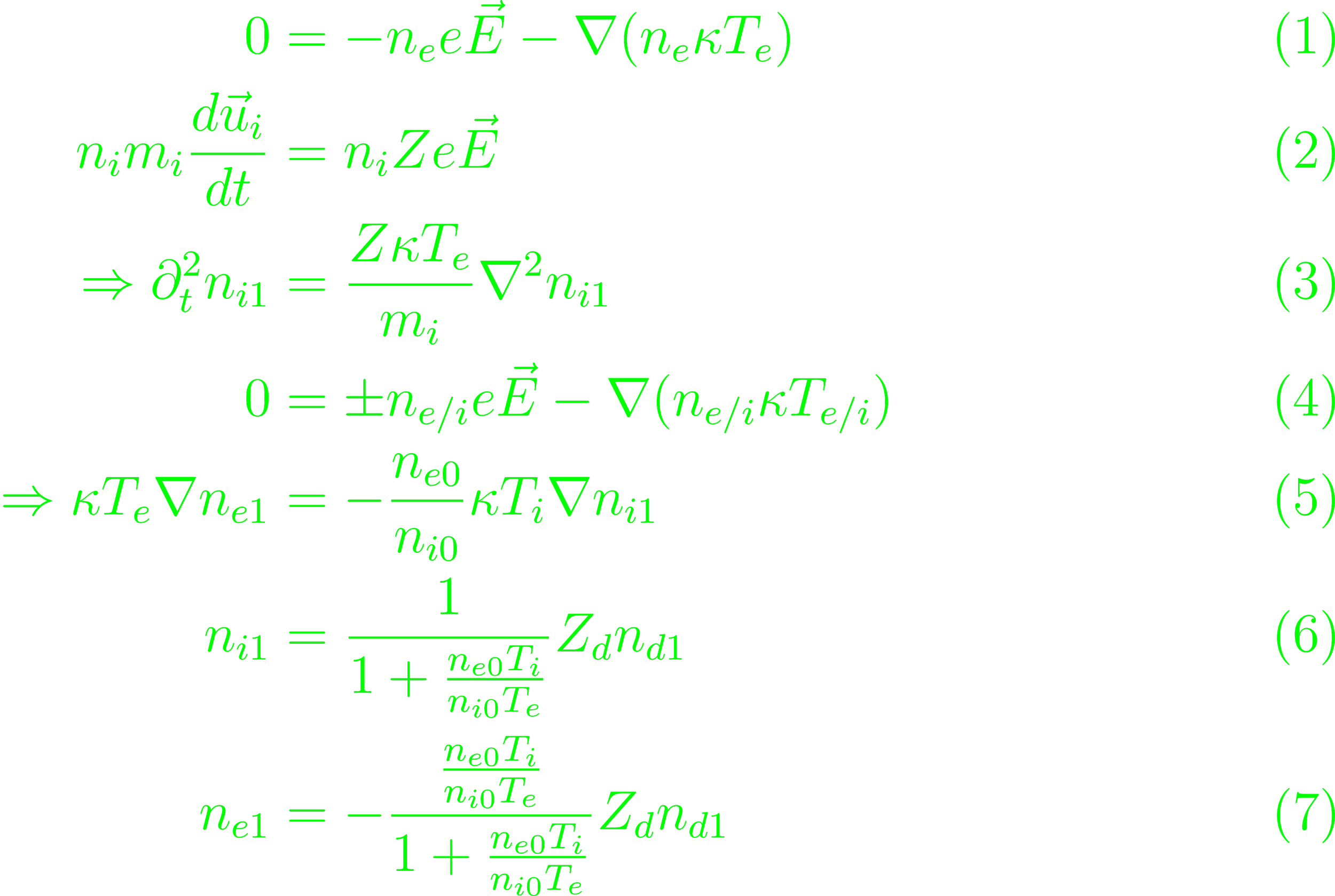
(Eqs 17.28 - 17.44) For dust acoustic waves the inertia is provided by the dust grains, and the restoring force is provided by the ion pressure.

Previous
Previous

Fundamentals of Plasma Physics 2025, 49 - Dust Ion Acoustic Waves

Next
Next

Fundamentals of Plasma Physics 2025, 47 - Brillouin Flow