Eclectic, scatter-brained, and struggling desperately to retain my hobbies

About This Site

This might seem familiar: You go about your day and get exposed to some activity. It might be something creative, something tech or software related, or something that you're pretty sure would be pretty helpful in some aspect of your routine, and not only is it something that catches your eye, but your brain immediately goes​

Huh. I could probably do that.

Or you come up with an idea for a project and you look at the effort required to actually go through with it, and maybe you estimate that it'd take a bunch of time to actually go through the steps, so you spend a day planning, and never actually get to it, so it goes on a to-do list that starts going on forever, and never seems to get any shorter.​

This blog is an attempt to remedy that problem for me, mostly using self-imposed deadlines and tempering my own expectations.

Monthly

Art Practice

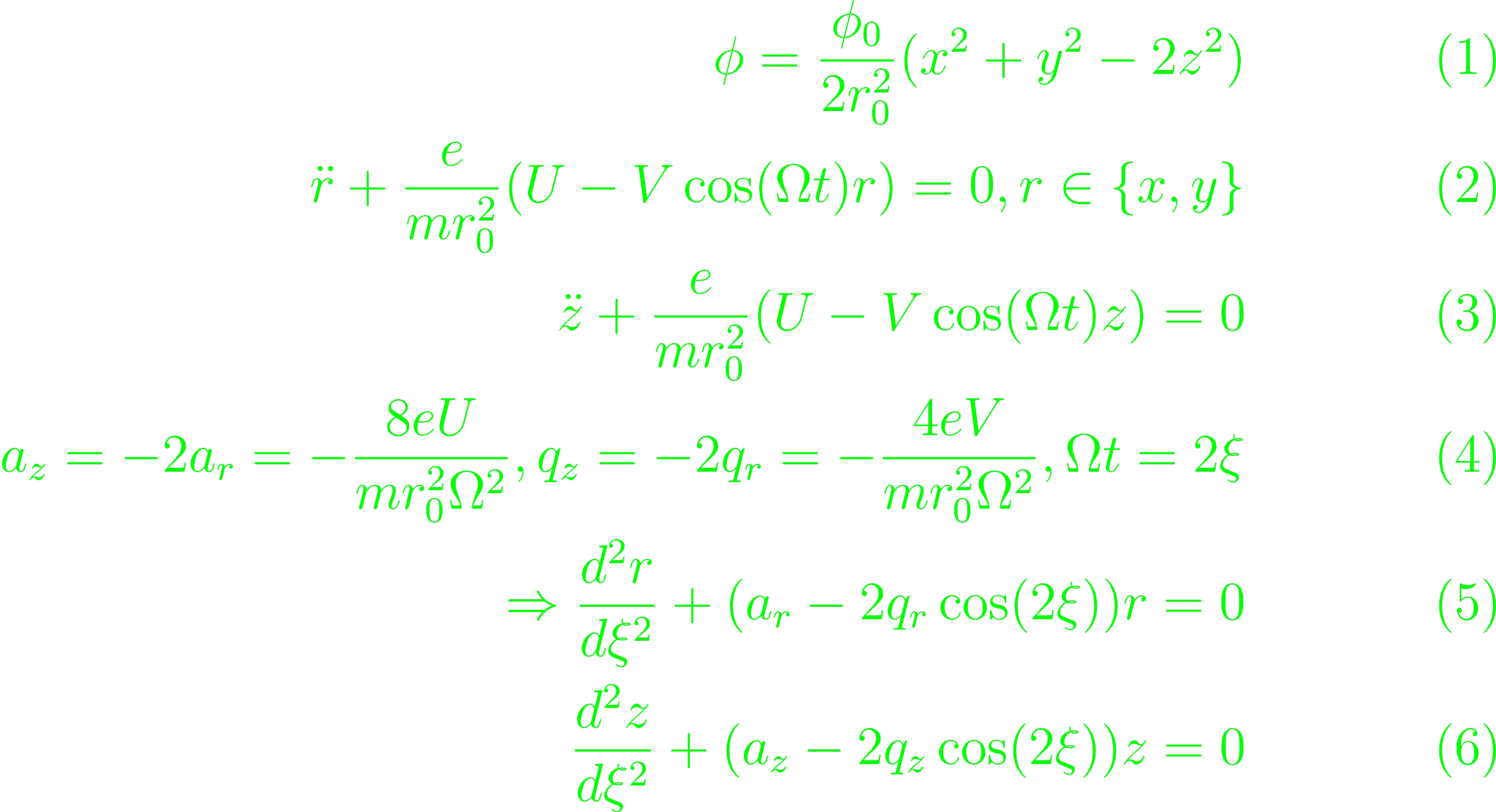
Math

Language Track

Concept Deep Dive

Short Stories

Composition

Physics