Quantum Chromodynamics 2026, 12 - Fermions on the Lattice

Fermions on the lattice can't be treated as c-numbers in the path integral, but they follow Grassmann algebra. As a reminder, it implies that fermionic field operators anticommute, which expresses the Pauli-exclusion principle, as well as the integration rules for Grassmann variables: ∫dψ = 0, ∫dψψ = 1 (p. 462). Discretization of space and time can reduce the number of variables into a finite number, by placing the system into a finite box (p. 464). In such scenarios, the sampling of the space can be done via Monte-Carlo methods. The transition amplitude P(x, x') can be determined through the Metropolis Algorithm. The general transition matrix p(x, x') is ergodic. The new value of the transition x' is accepted with the probability P(x, x'), or is discarded otherwise.

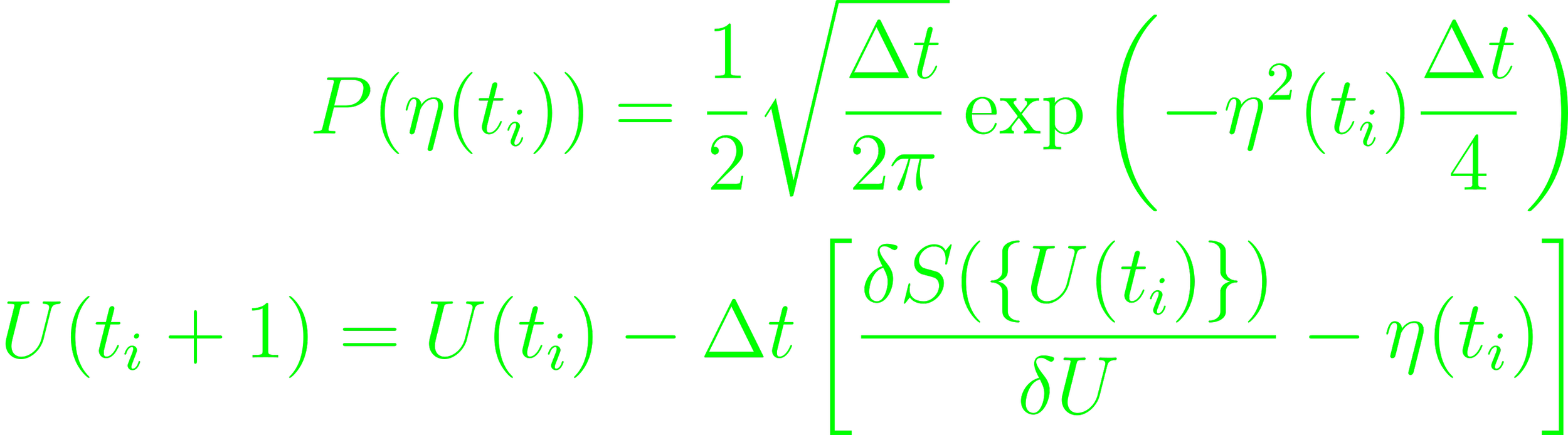
(Eq. 7.118 - 7.121). Alternatively, the Langevin algorithm uses the canonical ensemble of a statistical system. Time-evolution is introduced as it is in the usual Hilbert-spaces. Introducing a specific link variable U ≡ Uμ(xn) leads to an expression containing a Gaussian random noise function η(t)

(Eq. 7.123). Given discrete time steps, the probability distribution for η takes the form of

(Eq. 7.125 - 7.126). Yet another alternative emerges from thermodynamics, through its partition function Z, expressed through momentum variables πi, which be used in a fictitious Hamiltonian.

Previous
Previous

Quantum Chromodynamics 2026, 13 - Coupling Expansions

Next
Next

Quantum Chromodynamics 2026, 11 - Lattice QCD Calculations