Quantum Chromodynamics 2025, 51 - Spinor Quantum Electrodynamics

Begin with the Dirac equation for the free spinor field Ψ

(Eq 2.1). These solve to equations of the form we-ip x where p is the 4-momentum and w is the a 2-spinor vector. The solutions can have both positive and negative energy (Eq. 2.8). For plane waves of positive energy, the 0-component of the 4-momentum is positive (Eq. 2.9). In this case, by the covariance of the Dirac equation, where particles at rest equate the 0-component of the 4-momentum with its rest mass, the χ-spinor of w = (φ, χ) vanishes. The linearly independent solutions for the remaining 2-spinor are Euclidean 2-basis-vectors. For particles in motion, χ can be expressed through φ, so that

(Eq. 2.16). For plane waves of negative energy, the particle at rest has p0 = -m0, and for a particle in motion the w-components invert their positions (2.1.1).

The density and current density are independent of the sign of the energy (Eq. 2.26). By the definition of the spinors, and the continuity equation, it emerges that the sign change of charge and current density is inserted artificially, when a fermion of negative energy appears in a final state (2.1.2).

Given a plane wave of positive energy, its normalized value in a box of volume V, such that the full integral resolves to 2E, has a normalization factor of

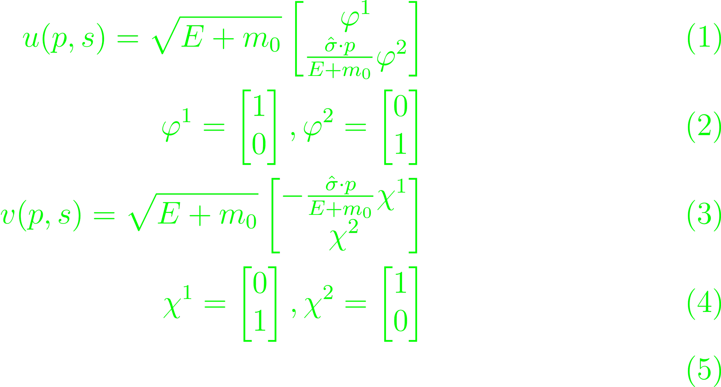
(Eq. 2.40). For positive energy, the spinor u(p, s) and for negative energy the spinor v(p, s) is defined

(Eq. 2.41 - 42). Then, write the plane waves for electrons and positrons as Ψ(e-) = u(p, s) e-i px, Ψ(e+) = v(p, s) ei px (Eq. 2.43). E, p and s correspond to energy, momentum and spin projection of the positron (p. 23). Alternatively, the spinors can be normalized to u' = (2m0)-1/2u, v' = (2m0)-1/2v (Eq. 2.50).

Previous
Previous

Quantum Chromodynamics 2025, 52 - Pion QED

Next
Next

Quantum Chromodynamics 2025, 50 - The Hadron Spectrum