Fundamentals of Aerodynamics 2025, 02: Turbulent Boundary Layers

For incompressible flow over a flat plate, the boundary-layer thickness and skin-friction drag can be approximated through

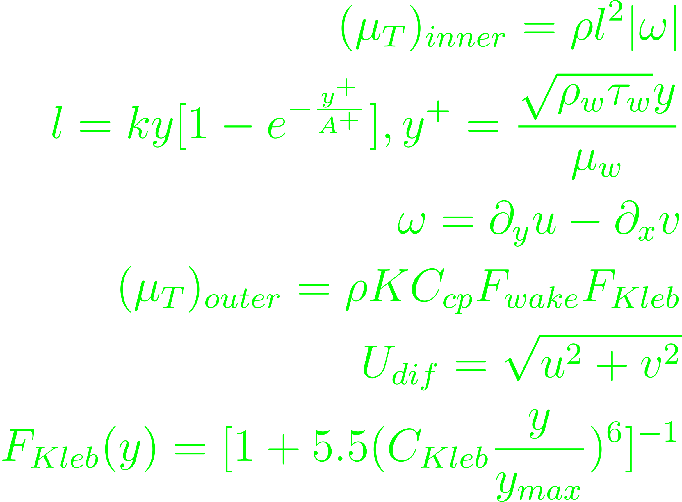
These effects are much more pronounced in comparison to Laminar flow. Beyond empirical data, this phenomenon is usually approached through turbulence modeling. The Baldwin-Lomax Model is an eddy viscosity model which has the turbulence in form of viscous flow equations through a term in the transport coefficients. It splits the turbulent-boundary layer into an inner and outer layer by some crossover distance.

With the approximated constants

This model takes into account the local vorticity in ω, so the mixing length may be arbitrary instead.

Previous
Previous

Fundamentals of Aerodynamics 2024, 50: Fundamental Principles of Viscous Flow

Next
Next

Fundamentals of Aerodynamics 2025, 01: Laminar Boundary Layers