Fundamentals of Aerodynamics 2024, 50: Fundamental Principles of Viscous Flow

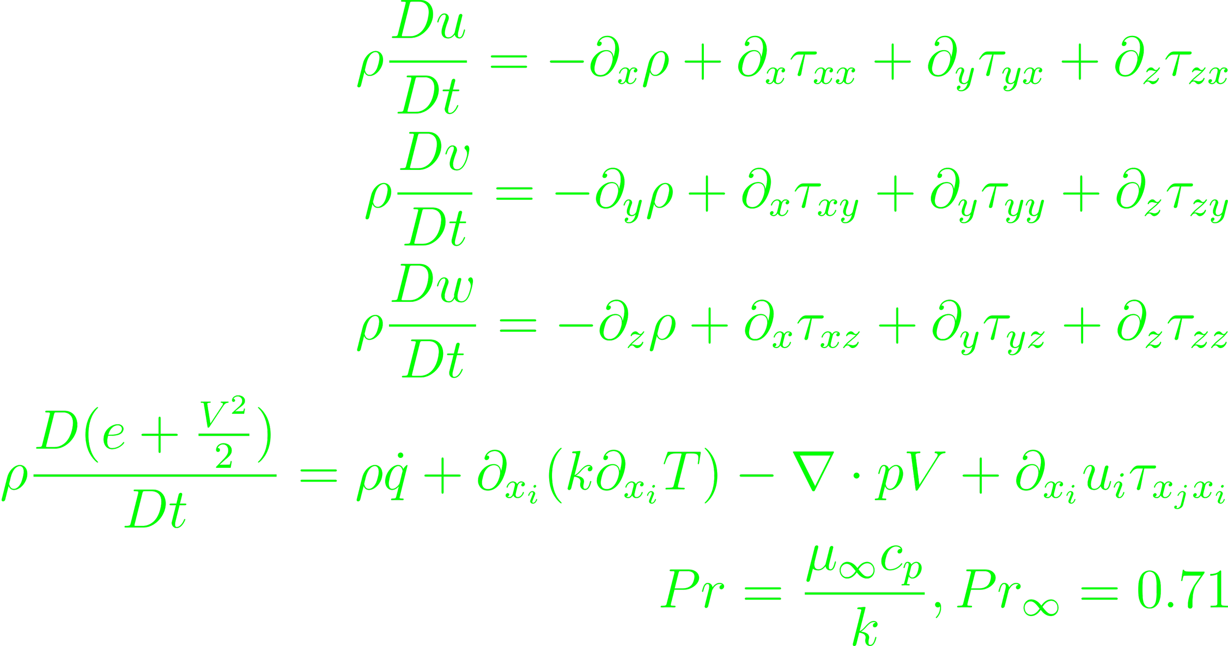
Viscous flow includes the effect of thermal conduction and mass diffusion. Mass diffusion becomes relevant in more specific, non-perfect gases, and hybrid gases. As the diffusion includes many chemical effects, that is ignored at first, so only viscosity and thermal conduction take the focus. When two solid surfaces slip against one another, there is friction involved. This is approximately the same model applied to flows. The tangential force per unit area of the body is the "shear stress" which is also applied to the fluid. The velocity at the surface vanishes (no-slip condition). The surface friction also generates pressure in the flow direction, forming a pressure gradient along the surface of the body. This is the mechanism by which a flow might not only stop a body traveling through it, but also reverse its direction. The friction can lead to separation of the flow from the body, which greatly alters the pressure distribution and has the flow lose track of the complete body shape. Identifying the separation point will be very important. It introduces two different parts of the "profile drag", consisting of skin friction drag, and pressure drag, the latter of which is generated from the separation. The thermal conduction is aggravated by the friction through viscous dissipation. This effect can be minimized through laminar flow, disinsentivizing separation. Laminarity is more likely to be found with low Reynolds numbers and high Mach numbers. The material and gas involved will carry an (effective) thermal conductivity and viscosity coefficient so that

Deriving for the usual quantities and using the resulting Navier-Stokes equation

Previous
Previous

Relativistic Hydrodynamics 2026, 03: Newtonian Kinetic Theory

Next
Next

Fundamentals of Aerodynamics 2025, 02: Turbulent Boundary Layers