February 2026 - Weirdness in deBroglie's Matter Waves

Sourced from de_broglie -REVIEW OF THE PRINCIPLES OF CLASSICAL MECHANICS.pdf (Chapter VIII cc.)

I've been made aware of the details in the matter wave formulations that are usually ignored in the physical interpretation. It features thermodynamics of isolated particles, indirectly sourcing from relativistic hydrodynamics.

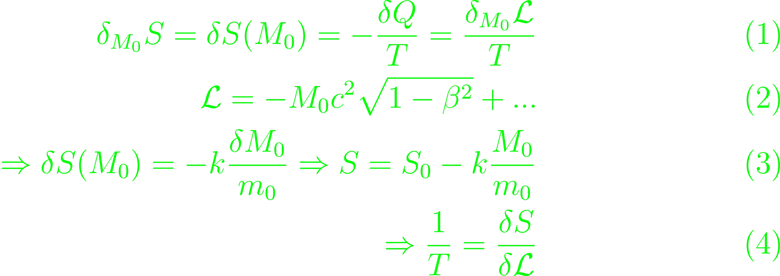
Entropy in relativistic hydrodynamics relates only to the Lagrangian. Applying this idea to an isolated particle, assuming that its rest mass is a variable quantity. The particle is also in permanent contact with a hidden thermostat with temperature T, following

The entropy can be decomposed to an independent part of the entropy, which can be regarded as a constant, and a contribution depending on the rest mass M0. The change of entropy then is

The sign in the final expression is decided primarily by the definition of the relationship of the thermostat and the entropy it imparts on the system.

The phase of the wave associated with the particles is analogous to -A, so that φ = -A = h ∫0tνcdt, which implies

The hidden thermostat gives imparts energy dU to a particle, through work dA, so that via Helmholtz's equation, and using the relations dQ = -TdM0S, dA = dM0F

where F is the an inherent measure of relativistic kinetic energy in the particle. By the constancy of temperature, dM0(U - TS) = -dM0F, meaning that the hidden thermostat contributes to the free energy in the thermodynamics of the single particle. The second law of thermodynamics can be connected to the principle of least action through the third Helmholtz formula

which, if integrated, clearly reproduces one side of the principle of least action, but sets it equal to some non-zero quantity. If the rest mass of a particle is non-constant, then even at instantaneous changes of action, varied motions of the particle become possible, whereby the entropy will counterbalance the change of trajectory, even favoring non-direct motions between different end-points, consistent with the assumption of Brownian motion of microphysical particles, usually paired with the particle side of quantum-mechanical interpretation.

Previous
Previous

March 2026 - The 4-3 Problem

Next
Next

January 2026 - Making Sure I'm Not Doing Wigner Crystal Research