YM-Thermodynamics 2024, 25: Calorons

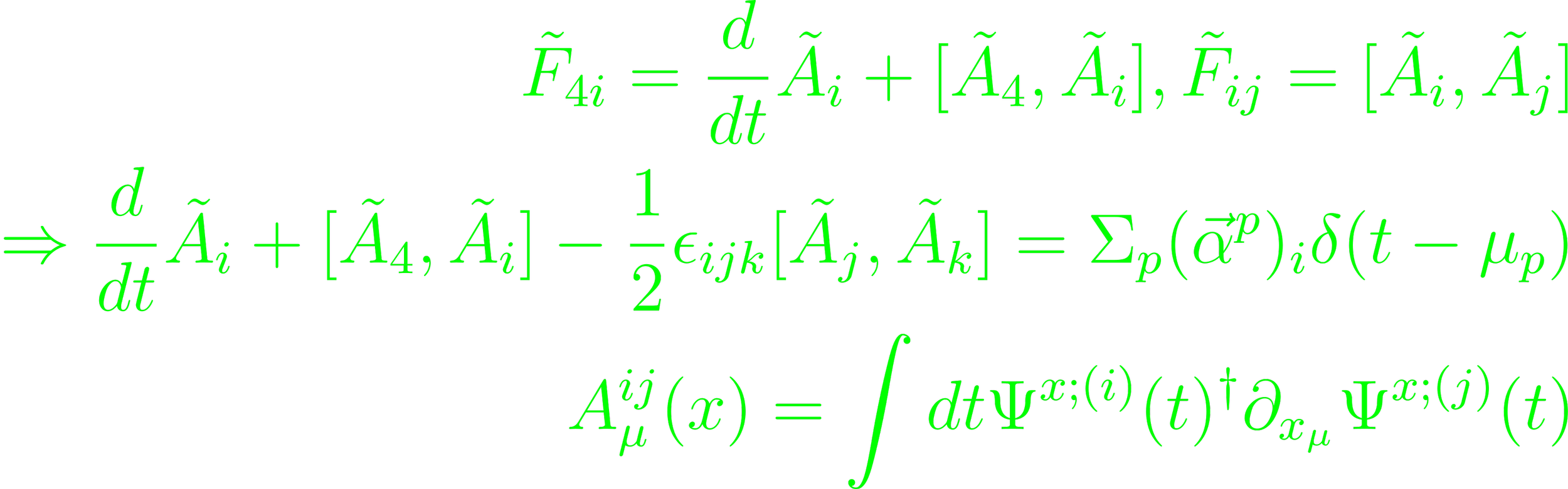
The adaptation of the ADHM construction to the BPS monopole, the matrix (operators) A, B as in the previous section on the interval -1/2 ≤ t ≤ 1/2. For U(N), the charge-k instanton defined on T4 into a charge-N instanton associated with U(k) on the dual 4-torus. Define T4 by identifying points in ℝ⁴ where the differences coincide with points of the lattice defined by βᵢℤeᵢ. The dual torus takes its own unit vectors and the dual 2π/βᵢ, so that the lattices span the canonical scalar product. Using the Weyl operator, the magnetic monopole can be generalized via shifting the selfdual charge-k gauge field by the connection. The new U(k) gauge field is

At the point where T4 degenerates into S1⨉ℝ³, no net magnetic charge is included in the finite-action selfdual configuration in SU(N). The behavior of A at infinity is determined by the eigenvalues of the Polyakov loop, the sum of which should equal zero. If it coincides with an element of the center group of SU(N), the constructed caloron has trivial holonomy. Otherwise it has nontrivial holonomy. The Nahm-transformed gauge field solely depends on the time coordinate of the dual unit circle, which fixes the field strength

For SU(2) and |k| = 1 in Euclidean thermodynamics with gauge theory in compactified "time". Periodic instantons / calorons of charge k = ±1 can also be constructed from the thermal ground-state (estimate). This is due to the instability of nontrivial-holonomy calorons under quantum noise from trivial topology-fluctuations, and because of the one-loop effective action scales with the spatial volume leading to total suppression in the infinite limit. At trivial holonomy, the BPS monopole can be generalized to periodic field configurations, depending on the compactified time. The limit of the vanishing mass scale will give a zero-gauge field, and smear the topological charge of the monopole configuration into invisibility. The limit of infinite mass scale reclaims the |k| = 1 singular-gauge instanton in Euclidean 4D. Take the special multiinstanton's self-dual gauge field with periodicity of W(x)

implying that topological charge is localize at the centers of the instanton. The caloron is distinct from the multiinstanton in its prepotential W, written generally

Only the instanton center at l = 0 contributes to the topological charge of the slice with times up to β. For β → ∞, the prepotential approaches the one for a |k| = 1 singular-gauge instanton. The Polyakov loop at spatial infinity coincides with the center element and the associated holonomy is trivial.

At nontrivial caloron holonomy, the deformed version of trivial-holonomy selfduality at finite temperature and |k| = 1 leads to a constraint for the deconfining thermal ground state. This estimate is a priori. The construction of SU(2) caloron of nontrivial holonomy and |k| = 1 represents a strong generalization of the BPS monopole. It's singularly dependent on the compactified time. The results for the trivial holonomy needs to be reproducable in the trivial limit. Temporary creation of nontrivial holonomies due to absorption of propagating gauge modes by trivial holonomy calorons is an adiabatically slow process, so the system dissociates into separate monopole-anti-monopole pairs, a "large holonomy", or it will fall back into the trivial holonomy, a "small holonomy". In either case, the parameter for the nontrivial holonomy varies as a function of Euclidean time. A SU(2) gauge might be picked with parameter u:

The corresponding gauge field on the dual torus is abelian for k = 1, so it consists of real numbers, and the 4-component can be set to 0. On the dual torus, define three subintervals by setting two distinct points within ±π/β, so that the magnetic monopole and its antimonopole, the dual gauge field jumps at these distinct points. One of them is considered a "forward jump", the other a "backward jump", so that the gauge field retains periodicity. Via the nontriviality of the kernel of the Weyl operator at those jump positions demands that constant two-component row vectors α, and constant scalars exist γ.

Solving for the constants and finding the projection operators Q for matrices B will give a full description for the gauge-field with some periodic potentials V. Note, that both constants C₁, C₂ are unitary, and single-valued, scaling with the inverse square root of D. An approximate gauge transform of a BPS monopole happens at both jumping points, though with reversed magnetic charge. It induces a large gauge transformation with a singularity at



The solution for the trivial-holonomy caloron corresponds to the approximation of fluctuations about the classical solution up to quadratic order in an expansion of the action which leads to a Gaussian functional integration. Here, the zero-modes are integrated out separately from the fluctuations, changing the action of the classical caloron. This approximation of the Harrington-Shepard caloron has an effective action of

The distinction between high and low temperature is done through a dynamically generated scale.

Of course for nontrivial holonomy, this consideration is much more complex. Let Z' be the contribution of isolated, quantum-blurred caloron to the total partition function. Without further elaboration

P(u) is always positive for nonzero u. The spatial volume V in the exponent implies total suppression of static nontrivial holonomy in the thermodynamical limit. It should still play a role in the YM-partition function since they are unstable under quantum noise. The constituent BPS monopoles experience a linear attractive potentials for small holonomies, and repulsive ones for big holonomies.

For a large holonomy caloron-anticaloron pair in isolation for an estimate of the typical equilateral tetrahedron with magnetic monopoles at the corners, generated by dissociation of the caloron and anticaloron. The holonomy is assumed to be maximally nontrivial, so the distance is R with probability 1. This probability is parallel to the thermal probability for exciting the large holonomy. The monopoles, too, are at rest shortly after being created.

Previous
Previous

YM-Thermodynamics 2024, 28: Free Thermal Quasiparticles

Next
Next

YM-Thermodynamics 2024, 27: Effective Action and a priori Estimate of Thermal Ground State