Standard Model Physics

Standard Model Gauge Transformations

The standard model of physics is perhaps the most successful comprehensive theory of physics, partially by virtue of having been around for a good long while, and partially because it's not that complicated in construction. This is a good thing, insofar as it's not as weird as string theory and unless we dive very deep into the microscopic processes, it's not very computationally dense. It's one fatal flaw is that it doesn't include gravity, meaning that mass-interaction are very badly understood, and best treated with well-meaning hand-waving. Otherwise it's actually quite inclusive of a lot of the modern additions to physics, each of which can be extensive on it's own right.

A brief overview of stuff included in the standard model are electroweak theory, quantum-chromo-dynamics and quantum field theory, although of course quantum field theory is a type of theory, rather than one locking physics in place in terms of constants and concrete numbers (in actuality, constants can only enter QFT through empiric data). It also leans heavily on particle physics, so we'll adopt the particle physics notations for all of the particles for better readability. From particle physics we also keep the particle dynamics, which means that the principle mechanics of the standard model are based in the standard action principle in 4 space-time dimensions. This should be standard fare by now: Start with a Lagrangian, integrate for action and through the principle of least action, get the variational Euler-Lagrange equation. The last point is familiar from QFT, which will of course indicate a Lagrangian density that decomposes into interactions and particles rather than forces and masses. Because of these interactions, we can surmise that said particles live in some group. From the classical edge-cases we can assume there are certain symmetries that are retained in these group under their interactions, and this group has been identified to

although it's the getting there that's interesting. The path to this result begins with gauge symmetry.

For later purposes, it's important to distinguish between global and local symmetries of a gauge transformation. Localizing a symmetry transformation is usually done by finding the transformation parameters and making them explicitly dependent of the coordinate. The form of the transformation stays the same. The most convenient invariant quantity are the various Lagrangians. Often these are the Dirac-Lagrangian, and the field theory Lagrangians, each of which can be made invariant by defining a new derivation operator and field strength tensor.

For U(1), the transformation parameter is some α(x). While the operation easily fixes the derivation operator and field strength tensor transformation, once fixed, it should hold identically in the other gauge groups. SU(2) there is a set of 3 parameters θ(x) and primarily gives a transformation for the gauge fields and derivation operator. In this case, checking the derivation operator should lead one to the same conclusion, but the procedure is mathematically simpler if the operator from U(1) is adopted directly. Still, crucially, not all of these groups are Abelian, so the algebra that the calculation happens in also isn't. Technically each of these gauge transformations can be parametrized directly through their generators, but in the case of SU(2) that would be inconvenient, so an equivalently large set of independent functions will have to stand in for the Pauli-matrices, which can then exist undisturbed in the transformation.

I don't usually like to include my full calculations here, because that's tedious and not helpful for what I'm trying to do, but if I don't, then this part is going to be really short, which will make me feel bad. As such, I'd like to at least do the U(1) transformation, since that is the one that you should be able to do more or less spontaneously.

The U(1) group is some rotation in 2 dimensions, so basically the same kind or rotation that we usually think of, whenever the word crops up. Rotations like these can be characterized by an exponential function, so the transformational invariance of the wave function is expected to look like this:

I'm going with the local transformation, just to make things a little more complicated. Remember, for global symmetries the transformation parameters are just constants. Ultimately we'd like our Lagrangian to be invariant. Take the Lagrangian of a free electron field

where the middle part of the new Lagrangian turns up difficult. Since we can't really change anything about the quantities without altering the theory, there emerges a need for a new differential operator. It turns out nicely, if it's defined using a vector field (called gauge field) A:

We'll characterize the gauge field when we can see from the calculations how it needs to transform.

The second transformation in this block characterizes the transformation of the gauge field, and this is basically all you need for the transformation invariance to be restored.

QCD

Where electric fields give the basis for electro-weak interactions, quantumchromodynamics (QCD) will fill the role of strong interaction in standard model physics. The strong interaction is that, which will induce force between quarks, from particle physics quarks inherit a number of somewhat abstract properties, namely spin and colour. The notion of quarks having some colour charge emerges form the spin-statistics theorem, under which the total wave function of a system consisting entirely of identical fermions turns out antisymmetric, whenever the quantum numbers of two particles are swapped. This is in line with the Pauli-exclusionary principle, as having a symmetric wave function would mean that these two non-identical configurations would have to share a wave function. Asymmetry however introduces an extra degree of freedom for the system, leaving it incompletely defined. The proposed solution to the problem is adding a flavour-wave function as a factor into the wave function of the system.

All three of these factors are symmetric wave functions, so the resulting function will have to be symmetric. However, exchanging quantum numbers will forcibly change some of these wave functions. This leaves the system with an extra "colour" symmetry.

Quark interactions happen on the background of particle interactions, meaning it's mainly relevant when particles collide. The top-level view on these events are of course the Feynman integrals, but one step deeper is determining the cross section.

Experimentally, the cross sections of e+e- -> hadrons and e+e- -> μ+μ- interactions only differ by a factor of the number of colours times the sum over all squared electric charges of the particles. Quark charges are relatively easy: the up-quarks have a 2/3e charge, and the down-quarks have a -1/3e charge. This makes the calculation of this factor pretty physicist-friendly. The energy levels scale with this factor, although not linearly. Because of quark masses, not all quarks can be present when the energy is too low.

With the colour symmetry, there comes a gauge transformation symmetry, the group of which will turn out with SU(3). In SU(2) the generators were the Pauli-matrices, so SU(3) is taking 3-dimensional Pauli-matrices. They can be constructed by putting the Pauli-matrices along the 3 spatial axes. That works fine for the first and second Pauli-matrix, but the third becomes problematic once we leave the x-y plane. The 8th 3D-Pauli matrix makes up for this by being constructed like this

These matrices have the following algebra

where f is some constant. The options explode of course, so we'll fix the constant up to permutations.

The permutations not listed are null. With these considerations, the QCD Lagrangian can be defined. In this Lagrangian, the gauge fields form the gluon, which will show up in the octet formed by the Pauli matrices.

The form of the Lagrangian is relatively standard, though the of course the quark triplet terms q with the Greek colour-indices and the last term of the gauge field tensor are new.

These derivatives use the matrices t and T in adjoint representations of SU(3), and the 1-tensor d is some symmetric structure constant in SU(3).

for adjoint representations.

Beyond the classical Lagrangian there is a gauge-fixing and ghost correction, which need to get added. The gauge fixing term should be somewhat familiar from QED

QED is Abelian though, so for the non-Abelianness of QCD, the ghost correction looks as follows

where η is a complex scalar field. The ghost term cancels out the unphysical degrees of freedom that would otherwise pop out in a covariant gauge. It reflects back on the Feynman rules by extending the interaction constant, depending on the interactions. These can get really complicated, so there won't be a comprehensive list here, mainly because I'm too lazy to type too much LaTeX.

One might have noticed that by introducing the gauge-fixing correction into the Lagrangian, the gauge invariance can break for some values of λ. The S-matrix elements must then be independent of λ to retain the gauge invariance. Such gauges are called "axial gauges". They don't require ghost fields, but the propagators become really lengthy.

In QCD contains the three famous discrete global symmetries: Parity, Charge conjugation and time reversal. Global symmetries aren't allowed to be broken. This is why the distinction between global and local symmetries are important in the first place: local symmetry breaking is allowed, and occasionally saves the theory. Identifying PCT-violating effects however are a good way to disqualify attempts at a gauge fixing.

Local symmetry breaking shows up as some total divergence, which is localized at some coordinates. Because of games one can play with integrals, these only contribute surface terms to the action and is thus negligible in perturbation theory, which lays the basis for the Feynman rules that we're working with at this point.

From last week's installment, readers might remember that standard model physics doesn't tango with gravity, but somehow masses still have to be updated for the Lagrangian to be correct. That's an indication that there are some symmetries that involves them. In fact, "exact" symmetries only happen if the masses between the exchanged constituents are identical. If they aren't the symmetry are considered "approximate" symmetries. Ignoring the exact masses leads to the SU(2) symmetry for the vector currents only, known as "isospin symmetry". Extending this to SU(3) will include mesons and baryons as octets and decoplets respectively. Working with isospin will introduce other quark charges that come with the left/right projectors familiar from QFT, each transforming differently in what's called "chiral SU(2) symmetry". This chiral symmetry breaks for hadrons, since it presupposes a partner particle carrying the same mass and opposite parity, something that does not exist. This breaks chiral symmetry into

where the U(1) component is there for the baryon number conservation and the SU(2) is there for the isospin. These symmetry breaks are considered "spontaneous". Because spontaneous symmetry breaking alters the group and thus the group action, it changes the ground state. This means that the ground state can't be invariant under this symmetry transformation. It's then not too odd to assume that QCD features a non-zero vacuum state for light quark operators. The resulting constant is considered the "quark consdensate".

This also turns out to be a good way to check for broken chiral symmetries. The Goldstone theorem will show that every spontaneous broken symmetry adds a massless Goldstone boson to the system. In this case, as the SU(2) is the remainder of the broken SU(3) symmetry, the 3 generators indicate the 3 pions, which are pseudoscalar bosons in the massless limit.

From QED we know photons as interaction particles. In QCD these transition to gluons. These differ from photons by the ability of gluon pairs to contribute the vacuum polarization. This gives rise to slightly wonky gluon-loops in the Feynman diagrams. If the QCD coupling constant approaches zero, the energy of the system climbs towards infinity, meaning that quarks and gluons behave essentially like free particles in high-energy scattering. If it is larger than one and the energy is less or equal to 1GeV, then the perturbation theory breaks down. Both of these domains are not of particular interest to the following. Instead increases of distance will favour creating a new quark-antiquark pair instead of increasing the interaction length. Of course the sum of quark and colour charges can't change, so whenever a meson (2 quarks) or a baryon (3 quarks) is created, they can't contribute. Instead they create jets shooting out in opposing directions. Note, that gluons carry colour and anticolour charges simultaneously.

Colour charge is what quantumchromodynamics is named for, and its a slightly odd property. The charges are named "red", "blue", and "green", each with their anticolour, i.e. "anti-red" etc. Gluons carry one of nine possible combinations of one colour and one anti-colour. The colour state takes the form

Because there are no gluon singlet states exists, it eliminates 3 of the possible 2 state combinations, but adds two possible colourless ones, each being associated with one of the 8 Gell-Mann matrices. White combinations are those with an equal mixture of all colours, anticolours or both. This is the case for the proton and pion, for example.

State 3 and 8 are colourless. The colour charge will show up in as a colour-vector in the equations, which will admittedly make things somewhat confusing, seeing as there's already normal spinors in there. For quark-antiquark interactions, S-matrix element retains its form familiar from QFT

where the λ terms stand for the qqg strong force interaction. Reducing this to the regular S-matrix component and an extra factor will give the colour factor

The singlet configuration of a quark are of the form

with the according colour factor, which will come out to 4/3. This means that the octet potential is repulsive and the singlet potential is attractive. Note that the singlet state doesn't constitute a "real" gluon. The chief difference between quark and gluon jets are their colour factors (g/9 and g/4 for quarks and gluons respectively), and the higher multiplicity and broader gluon jets that produce more baryons, whereas quark jets produce more mesons.

From particle physics, the standard model inherits the Parton Distribution function, which dictates that gluons dominate at small distances x, while gluon and sea distributions grow, and the valence distribution peaks somewhere between 0.1 and 0.2. Corrections to the Parton Distribution need to happen for both large and small x. It's expected to deplete for large x and increase for small x. The corrections are facilitated through splitting functions which each have an LO term and an NLO correction, depending on whether it's a gluon-gluon, gluon-quark, quark-gluon or quark-quark scattering. This can be directly applied to scenarios like the LHC's proton-proton scattering and the Drell-Yan processes, which will make concrete the squared quark charge for the cross section.

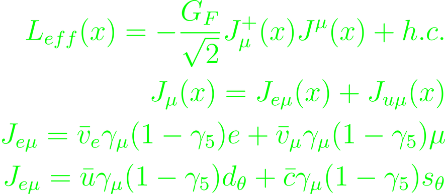
Electroweak Forces

Electroweak forces have been namedropped occasionally before, and now that the strong interaction has been defined, it's high time that we take a look at them. From QFT the effective Lagrangian of the 4-fermion interaction at tree level is

where λ is the Cabibbo-angle. The issue with this was, the non-renormalizability of the expression, which will lead to higher-order contributions to increasingly diverge. It also violates unitarity.

To remedy this, a new gauge boson was introduced, namely the W-boson, which extends the diagram between collision and splitting. Each of the vertices will have the coupling constant g, and the W-boson's contribution is proportional to

whereas the previous diagram would have featured a four-vertex with an interaction term proportional to

If these two expressions are equal, i.e. the original term doesn't diverge, this is considered the "low-energy approximation". This corrects for unitarity, but not for renormalizability, as the W-boson's propagator will tend towards a constant for unphysical infinite wave vectors.

The issue visibly becomes the additional mass term in the denominator.

A solution to this is presented in the Glashow-Salam-Weinberg model, which operates again in SU(2)×SU(1). It defines the Gauge group for two separate Lagrangians.

and proposes a unification via SU(2), which sorts the generators to the 3 known gauge bosons. It takes the Lagrangians to derive charges

which don't form a complete algebra, unfortunately, but can be defined into "hypercharges" so that these hypercharges form a complete algebra. For this, one must take into account the U(1) component, which will introduce a fourth massless gauge boson. It adds a third T-charge, and redefines the Q charge.

The choice for the hypercharge is merely convenient, but not compulsory, seeing as the charge quantization is not dictated in SU(2) × U(1). The given choice turns out to coincide with the correct electric charge values for the particles.

At this point, it's better to first return to the discussion about spontaneous symmetry breaking before continuing. It's a part of getting the masses, but the construction depends on the Goldstone Theorem, which we already teased in previous installments. Instead of splitting the space, we'll take a page out of quantization procedures and define conditions for symmetry breaking. These are elements out of a symmetry group that we would like to retain after the break. Mark these as matrices U, such that

for A, B elements of an irreducible group basis. The energy eigenvalues are degenerate by the number of states, we can chain together by way of the second of the above equations. All elements of the group basis are definitionally eigenstates of the ground state, which, when combined with the above statement will make the ground state invariant with respect to U. The two statements are equivalent. This means, that symmetry is broken, if there is a condition, for which the ground state is not invariant. This will define a space-time independent constant.

this constant implies some massless, spinless particle, recreating the Goldstone Theorem.

Noether's theorem makes very similar claims, although these are about continuous symmetries and conserved currents, i.e. conservation of (Noether-)charges. Because of spontaneous symmetry breaking, the conserved charge isn't well defined though, meaning that the 0-component of the charge current J has what's called a "poor convergence property". To avoid having to fix the charge explicitly, it can be disambiguated by applying the symmetry transformation in question and applying it to a a field operator, so that a commutator definition is implied. The other direction of course works as well, and is less abstract to show.

Breaking the symmetry implies

Which, under translation invariance turns out to

These last conclusions define the properties of the Goldstone boson.

Of course thinking about massless, spinless bosons will conjure the words "Higgs particle" in the mind of the particle physicist. Today we have the luxury to know that it exists, so we can continue with the regular requirements one might have for the particle, namely that its potential be renormalizable (has an order of less or equal to 4), and be bound from below. This eliminates odd powers of the field potential, leaving us with quadratic and quartic terms. In general it will look as follows

The factors μ and λ then fix the chief characteristics. If μ^2 < 0, then V(ɸ) is minimal for

This will add a Higgs component to the Lagrangian.

where A is the SU(2) vector field, σ the SU(2) generator, B the U(1) vector field and Y the U(1) generator. Take the physical vacuum and the condition for spontaneous symmetry breaking

Doing the spontaneous symmetry breaking calculations described in the Goldstone theorem, all four generators of SU(2)×U(1) break spontaneously, and one of the associated charges - that of the photon - evaluates to 0. This means that the photon is confirmed massless, while the remaining three bosons will require a mass. The full Lagrangian is now

This means one Higgs doublet suffices to give mass to up- and down-type fermions (there are some mechanisms that require two distinct doublets, but the Higgs happens to not be one of those).

The disparate parts of the Lagrangian undergo unitary transformation, which changes the Higgs term and the Yukawa term, but leaves both gauge Lagrangians unchanged. From the gauge boson masses, the "kinetic" terms for the Higgs-Lagrangian emerge (mainly since the Yukawa Lagrangian definitely doesn't have one). For the Higgs Lagrangian, this fixes the fields

where we get η from the Goldstone theorem. The other three are embedded in the unitary transformation operator U. At this point, the quantity have to be inserted into the Higgs-Lagrangian and evaluated, which is a lot of work, up until it's reduced from multi-line calculus to

The last one is noted down to acknowledge the existence of the massless photon, not for any pragmatic reason.

Particle Mixing

Of course in reality particle interactions are messy and chaotic, and mostly mixed. This can create a number of problems, even at the level of the quarks. The strange quark for example has a quantum number s = 1, and its antiquark has a quantum number s = -1, while all other quarks are assumed to have s = 0. Of course quantum numbers are supposed to be a conserved quantity, which does very odd things to the charm quark.

The solution to this problem is hidden in the intrinsic qualities of the quarks. Of course the quark masses and charges are known, though the large difference in quark masses should be taken note of, seeing as it disqualifies high-energy quarks from low energy interactions.

A similar problem is the π- decay into an electron and an electron antineutrino, or the κ- decay into the same. Both feature a decay from 1. family quark to 1. family leptons, which wouldn't conserve the quantum number. Both are measurable in very high rates. This indicates that the interaction eigenstates aren't actually the mass eigenstates. Take the first two families of quarks in SU(2), (u, d') and (c, s'). Mixing occurs between down and strange quarks.

using the Cabibbo-angle θ. The direction of the rotation is up to convention. Either way, the ratio between the decays turns out

This Ansatz can be extended to 3 generations through the Cabibbo-Kobayashi-Mashawa (CKM) matrix. It follows the above construction in 3 dimensions, where each matrix entry is a complex expression, leaving 18 initial parameters, cut down to 9 through unitarity. Using the 3 Euler angles along the 3 × 3 matrix and expressing quarks through

will link 5 further degrees of freedom into the phases. One degree of freedom remains. The physical parameters are

The CKM matrix can be decomposed into combinations of 3 rotations in 2 dimensions. This general form is the flavour-mixing matrix. From experimental values, the CP-violation crops up for δ ≠ 0. The prescription for the angles give implications for the determinants of the CKM-matrices with the quarks. Square sine function vanishes under these small angles and the up-bottom, top-down and top-strange CKM matrices are expected to have large imaginary parts. Each of the CKM matrices can then be identified with specific decays by measuring the energies, i.e. the determinants of the CKM matrix.

Some decays (C60) demonstrate parity violation in the weak force domain, meaning in the electromagnetic forces. The particles for which this is true, are considered "stranged". The neutral pion has charge parity of -1. The charge parity operator will flip particles and antiparticles. It's an eigenstate of the CP-operator. The neutral kaon, however isn't, meaning flipping the quarks that make up the kaon won't reproduce a kaon. Constructing superpositions of kaons through either addition or subtraction of kaon and anti-kaon can yield eigenstates of the CP-operator. These superpositions are distinguished through their life-times. The additive superposition decays into two neutral pions, while the subtractive one decays into 3 neutral pions, with the latter one living about 1000 times as long as its counterpart. In theory, only 3-pion final states should be observed, but that turns out to not be the case. Through this CP-violation, the Lagrangian is altered again. Prescriptively, switch the up- and down-type quarks and conjugate the CKM-matrices. The outcome of CP-violation can be read off the "unitarity triangle" in the CKM-matrix, which are the top and leftmost lines of matrix elements. Multiplying it with its inverse is supposed to be the identity, and with that the unitarity triangle equation can be read off.

where the middle term is almost real. This enables an approximation

where each of the terms can be considered the length of a triangle with a hypotenuse of 1, the area of which is the measure of the CP-violation.

There is an oscillation between particles flavours proposed in order of fixing much reduced rate of observed neutrino in comparison to the expected one. This too, is done through a superposition using the 12-Cabibbo angles. Including the time-evolution of the electron-neutrino superposition looks as follows

For very small masses, the time and distance can be considered equal (per setting the speed to c = 1). The expression in the exponent can be written as some rotational phase to return to familiar algebra for the probability that an electron-neutrino transitions into a muon-neutrino.

Through experiments, the MSW-effect demonstrates that neutrino oscillations behaves differently in matter than in vacuum. In matter, the mixing increase and resonant conversion triggers. The MSW scattering effect also fixes m2 > m1. When including more neutrinos, the procedure can be expanded, so that

U formally functions identically to the CKM matrix. The electron-neutrino and muon-neutrino are the "atmospheric" neutrinos, and the decay of such is fixed by the masses

At high energies, the μ -> τ transition is favoured to make up for the mass difference.

What's left now is to actually fix the neutrino masses, but inserting them into the fermionic theory will lead to coupling constants that are 6-8 orders smaller, and are then considered "unnatural". This will disqualify the Yukawa-terms for the neutrino-treatment, and invite considerations that go beyond standard model physics. Instead, the solution to this problem comes through "Majorana masses". We lean on the familiar construction in QFT.

It associates fermions with their anti-fermion. Considering the Majorana masses will split the Yukawa-Lagrangian into a coupling term and a mass term. How exactly the Majorana-mass term looks follows from the application of the CP-operator and left-projection operator onto a right-handed neutrino.

meaning that the right handed CP-inverted neutrino is actually left-handed. This removes one particle from the equation, making space for the new mass term. The Majorana-Lagrangian then follows the regular scheme

where the particle v describes a Majorana fermion.

Previous
Previous

Charge Transport in Materials

Next
Next

String Theory