Fundamentals of Plasma Physics 2025, 40 - The Tearing Process

Tearing and reconnecting is a multi-scale process and thus can't be modeled using standard analytic methods. Instead, begin solving the for the vector potential of the B-field, choosing x = 0, Az = 0, so Az(x) = -BL ln[cosh(x/L)]. At limits,

At the inner tearing/reconnection region,

In the outer region,

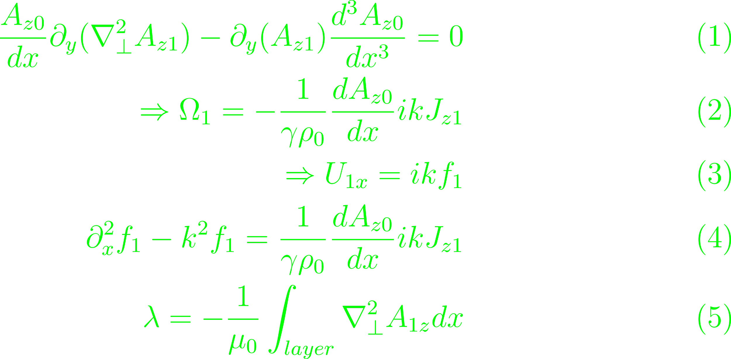
The sheet current is a special, but realistic, case of the case where the equilibrium B-field doesn't have a null, but is sheared instead. Said field is straight with components in the y/z-directions, with a varying function in x. In contrast to the sheet current, By0(x) doesn't vanish at particular x. Write B0 = ∇ψ0(r) × ∇z + Bz0 which can be thought of as straight cylindrical approximation of a toroid with z corresponding to the toroidal angle. The reconnection topology has antisymmetric vorticity at the reconnection layer. Vorticity is a consequence of torque, so it too must be antisymmetric about the reconnection layer. The tearing instability changes the topology of the B-field, creating magnetic 'islands'.

Previous
Previous

Fundamentals of Plasma Physics 2025, 41 - Fokker-Planck Equation

Next
Next

Fundamentals of Plasma Physics 2025, 39 - Magnetic Reconnection