Fundamentals of Plasma Physics 2025, 28 - Group Velocity

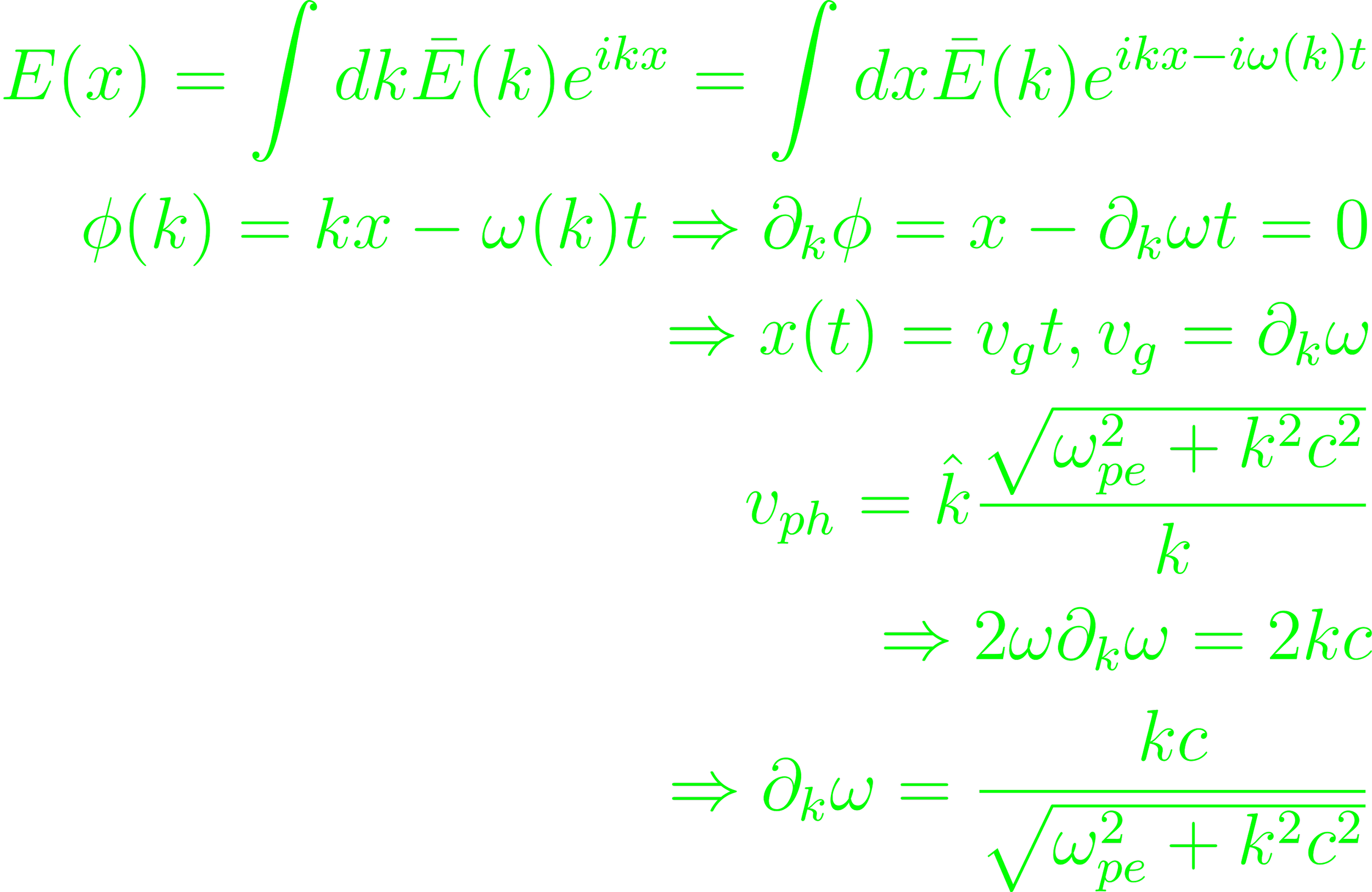
The electric field of some mode can be decomposed into spatial Fourier modes, varying over eikx. Later, consideration of the "phase mix" may factor in phase mixing and destructive interference. This defines the group, and later phase velocities.

Waves can either be electrostatic (∇×E = 0, E = -∇ϕ) or inductive (∇E = 0, E = -∂tA). For Fourier modes, replace ∇ with ik, so then k and E is parallel for electrostatic modes, and such waves are longitudinal. EM waves have kE = 0, and thus are transverse. When the roots of the dispersion An4 - Bn2 + C = 0 are well separated, the slow mode assumed at n2 large. Either A vanishes, or B is infinite. At A → 0 , the dispersion relation is dependent on θ, and vg in this situation can be evaluated by k2xS + k2zP = 0. It follows that k∂kω = 0, so the group velocity and phase velocity are orthogonal.

Previous
Previous

Fundamentals of Plasma Physics 2025, 29 - Homogeneous Plasma

Next
Next

Fundamentals of Plasma Physics 2025, 27 - Dispersion Relations and Parameter Space