Fundamentals of Aerodynamics 2024, 51: Couette Flow

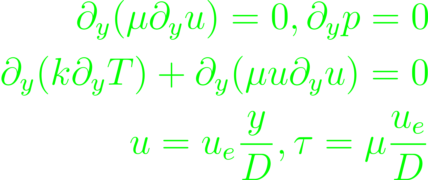
A viscous flow between two parallel plates with distance D, where the upper plate is moving at some velocity u, creates a situation where due to the no-slip condition, no relative motion may exist between the plate and the fluid. Additionally, if the plate are at different temperatures, the fluid at the different plates need to carry the exact temperatures. The upper plate is exerting a shear stress on the fluid, causing the flow field in the first place. The lower plate technically also exerts shear stress in the other direction, but this component is merely reactive. There is then a velocity and temperature fields induced by the plates. Given the plate motion along the x-axis and the distance between the plates along the y-axis,

The shear stress is constant throughout the flow, and increases with the movement speed of the upper plate, and decreases with larger distances between the plate. The enthalpy of the flow is derived by the viscous dissipation. By the heat flux at the walls, the aerodynamic heating effects radiate into the flow from two different sides. Larger temperature difference leads to larger heat transfer at each wall, and the difference takes on the role of a driving potential.

When the temperatures are equal, there is still heat transfer through viscous dissipation. For adiabatic wall temperatures, the temperature and enthalpy is given by

For the generalized case, the Prandtl number is replaced by a recovery factor, which describes how close the adiabatic wall enthalpy is to the total enthalpy at the upper boundary of the viscous flow. The Reynolds analogy applied to Couette flow gives a simple model to replace the more granular considerations of the mechanics.

For compressible Couette flow, the velocity gradient is no longer constant across the flow. It is determined by numerical methods.

Previous
Previous

Fundamentals of Aerodynamics 2024, 46: Inviscid, Compressible Flow

Next
Next

YM-Thermodynamics 2024, 45: SU(2) Black-Body Anomaly