Functional Analysis 2024, 26: Radon Transform

Recall the Radon transfer R with its smoothing property for d = 3

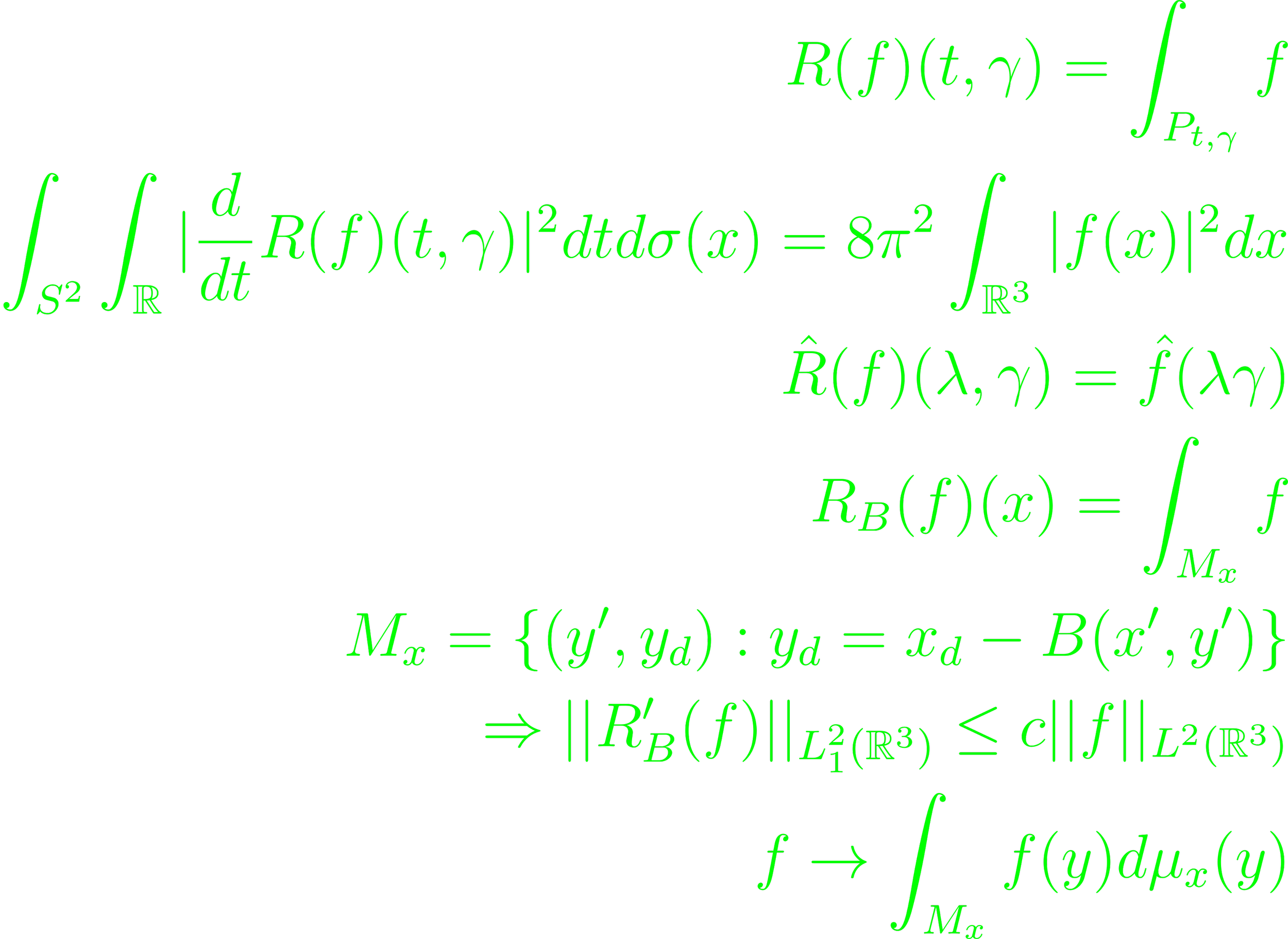
where f is an operator which maps x smoothly onto a manifold M(x) = x + M. The averaging operator A is characterized by the curvature of M, while in the case of the Radon transform, the family of manifolds are hyperplanes without curvature. These are two descriptions of the same phenomenon, unified by common rotational curvature, taking into account the possible curvature of each fixed M(x) and its evolution over x. This relationship can be expressed through a rotational Matrix via a C(∞) function ρ(x, y) on a ball in ℝᵈ ⨉ ℝᵈ. The rotational curvature of ρ is equal to the determinant of the rotational matrix. Define the averaging operator A, which extends to a bounded linear map of L²(ℝᵈ) to Lₙ²(ℝᵈ), n = (d - 1)/2, and an operator T(λ)

The phase Φ is nonvanishing on the support of Ψ. Both are C(∞) functions on ℝᵈ ⨉ ℝᵈ.

Any Schwartz function h can be fixed on ℝ, so far as it's normalized to 1 over ℝ. It follows that for smooth hypersurfaces in ℝᵈ with a defining function ρ and any continuous function f of compact support. This results in a dyadic decomposition of A.

Previous
Previous

Geometry & Topology 2024, 28: Composing Maps

Next
Next

Functional Analysis